Assigned:
Fri 17 Feb 2012
Due:
Tue 28 Feb 2012
Problem 1 (25 points)
Courtesy
James Allan
A. In
this homework problem, you will write a quick program to explore
Zipf's Law.
B. Suppose that while you were building retrieval index,
you decided to omit all words that occur fewer than five times (i.e.,
one to four times). According to Zipf's Law, what proportion of the
total words in the collection would you omit?
(Justify your answer.) What proportion would actually be
omitted in the Alice in Wonderland text above? Problem 2 (25 points) Figure 1(a):
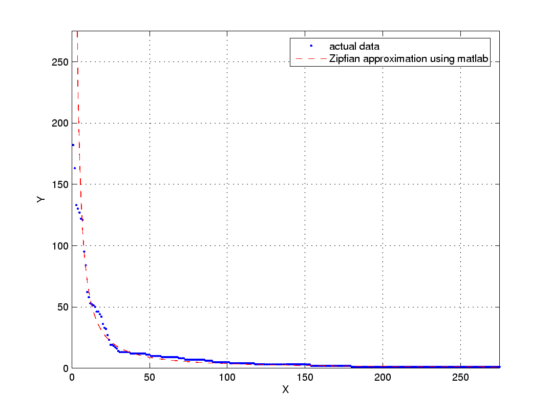
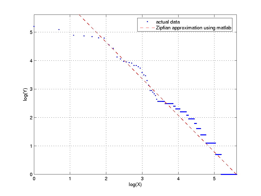
Frequency-rank plot and best fit Zipfian model. Figure 1(b)
Log-log plot of data from Figure 1(a). Your task is to
find the best fit Zipfian model for this data, i.e., the parameters of
the red curve, by first finding the best fitting
straight line for the log-log data using the least squares technique.
Follow the detailed example given in class. As a reminder,
if the log-log data points are represented by
For the given data,
compute the fitting coefficients m and b, and from m and b, compute the parameters for the best fitting Zipfian model (i.e., the red curve in Figure 1(a)). Problem 3 (25
points) B. Verify Heap's Law on the Alice in
Wonderland text. Process each word of the text, in order, and
compute the following pairs of numbers: (number of words processed,
number of unique words seen). These pairs of numbers, treated as (x,y)
values, should satisfy Heaps Law. Appropriately transform the data
and use least squares to determine the model parameters K and beta, in
much the same manner as Zipf's Law example from class and the problem
above. Problem 4 (25
points) Given a query Q and a collection of documents
A, B and C as shown in Table 1, determine the similarity of A, B, C to Q using
language modeling. Determine the probability of generating the query from
the language model associated with the documents using the simple multinomial
model and the following smoothing techniques: (a) No
smoothing, i.e., maximum likelihood language model. (b)
Laplace smoothing. (c) Witten-Bell
smoothing. For the corpus model, use the average of the maximum
likelihood models created in part (a). The numbers in the table
below are the frequencies of each term appearing in each document and
query. Note that if a term appears more than once in the query, it
will have to be "generated" more than once in the simple multinomial
model. Table 1 Term-Document
Weights Cat Food Fancy Q 3 4 1 A 2 1 0 B 1 3 1 C 0 2 2
Go to the Project
Gutenberg website and
download Alice in
Wonderland by Lewis Carol (Plain Text UTF-8 format). Strip
off the header, and thus consider only the text starting at "ALICE'S
ADVENTURES IN WONDERLAND", just preceding "CHAPTER 1"; also, strip off
the footer, eliminating the license agreement and other extraneous
text, and thus consider only the text up through, and including, "THE
END". Use this perl script to strip the text
of punctuation obtaining the original text as a list of words. For
example, on a unix based systems, you should run a command like
parse.pl alice30.txt > output
Write a quick program or script that counts word frequencies.
For the most frequent 25 words and for the most frequent 25 additional
words that start with the letter f (a total of 50 words), print
the word, the number of times it occurs, its rank in the overall list of
words, the probability of occurrence, and the product of the rank and the
probability. Also indicate the total number of words and the total number of
unique words that you found. Discuss whether this text satisfies Zipf's
Law. Feel free to use other parts of the ranked list of terms.
Prof. Aslam has a collection of songs on his iPod, each song
played a number of times as indicated in this ranked list
The left plot below show the frequence-rank plot for these songs (the blue dots)
along with a "best fit" Zipfian model (red curve). The right plot shows this same data on a log-log scale.


and you are looking for the linear function (straight line) given
by![]()
then


A. According to Heaps' Law, what proportion of a collection
of text must be read before 90% of its vocabulary has been
encountered? You may assume that beta=0.5. Hint: to solve this problem you don't need to know the
value of K.
jaa@ccs.neu.edu