CSG713 06F: Homework 07

Assigned: Wed 08 Nov 2006
Due: Mon 20 Nov 2006

Last modified:


General Instructions

  1. Please review the grading policy outlined in the course information page.

  2. On the first page of your solution write-up, you must make explicit which problems are to be graded for "regular credit", which problems are to be graded for "extra credit", and which problems you did not attempt. Please use a table something like the following

    Problem01020304 0506070809...
    CreditRCRCRCECRC RCNARCRC...

    where "RC" is "regular credit", "EC" is "extra credit", and "NA" is "not attempted" (not applicable). Failure to do so will result in an arbitrary set of problems being graded for regular credit, no problems being graded for extra credit, and a five percent penalty assessment.

  3. You must also write down with whom you worked on the assignment. If this changes from problem to problem, then you should write down this information separately with each problem.


Problems

Required: 7 of the following 9 problems
Points: 16 pts per problem

  1. Exercise 24.3-4 and Problem 24-3 (a)

  2. In each of the following problems, you should create a single graph and appropriate edge weights in such a way that the output of a "shortest paths" algorithm run on your graph can be used to solve the original problem.

  3. Problem 25-2, parts (a, b, c).

    Hint: A d-ary heap is an array indexed starting at 0 where the parent of the element in position i, p(i), and the k-th child of the element in position i, childk(i), are defined as follows:

  4. Exercise 26.2-8

  5. Exercise 26.2-9

  6. Problem 26-5

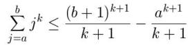
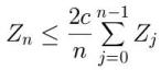
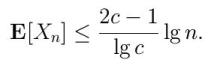
  7. In class, we proved that the expected height of a randomly built binary search tree on n distinct elements, E[Xn], is at most 3 lg n - Omega(1). (Since the constant is relevant here, it is important to note that "lg" is log base 2.)

    The purpose of this problem is to derive the optimal constant in front of the log by using the optimal base (instead of 2) in the definition of exponential height.

  8. Exercise 35.1-3

  9. Problem 35-1


Switch to:


jaa@ccs.neu.edu