CS7800 12F: Homework 06

Assigned: Wed 31 Oct 2012
Due: Wed 07 Nov 2012

Last modified:


General Instructions

  1. Please review the grading policy outlined in the course information page.

  2. On the first page of your solution write-up, you must make explicit which problems are to be graded for "regular credit", which problems are to be graded for "extra credit", and which problems you did not attempt. Please use a table something like the following

    Problem01020304 0506070809...
    CreditRCRCRCECRC RCNARCRC...

    where "RC" is "regular credit", "EC" is "extra credit", and "NA" is "not attempted" (not applicable). Failure to do so will result in an arbitrary set of problems being graded for regular credit, no problems being graded for extra credit, and a five percent penalty assessment.

  3. You must also write down with whom you worked on the assignment. If this changes from problem to problem, then you should write down this information separately with each problem.


Problems

Required: 2 of the following 3 problems
Points: 36 pts per problem

  1. Problem 24-2

  2. Exercises 25.2-4 and 25.2-6

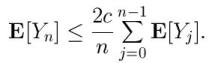
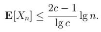
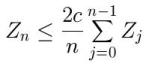
  3. In class, we proved that the expected height of a randomly built binary search tree on n distinct elements, E[Xn], is at most 3 lg n - Omega(1). (Since the constant is relevant here, it is important to note that "lg" is log base 2.)

    The purpose of this problem is to derive the optimal constant in front of the log by using the optimal base (instead of 2) in the definition of exponential height.


Switch to:


jaa@ccs.neu.edu